[home]
[search]
Complete SiteMap of Marcus Hutter' HomePage
[contact]
[sitemap]
Events
Dagstuhl Seminar (2006) Kolmogorov Complexity and Applications
PORL09: Symposium on Partially Observable Reinforcement Learning
Machine Learning Summer School 2008
Reinforcement Learning Wiki
European Workshops on Reinforcement Learning
Artificial Intelligence
50'000€ Prize for Compressing Human Knowledge
(
rules
,
FAQ
,
pledge
)
Universal Artificial Intelligence
Press
Open and past jobs and student projects
Jobs (filled):
1 PostDoc (2009)
Jobs (filled):
1 PostDoc (2007)
Jobs (filled):
1 PhD student (2006)
and
1 PostDoc (2005)
Jobs (filled):
1 PhD student (2003)
and
1 PostDoc (2003)
Algorithmic Information Theory
Kolmogorov Mailing List
Recommended Books and Courses
Lectures
ANU 2010 Course on Foundations of Artificial Intelligence
ANU 2008 Reinforcement Learning and Planning under Uncertainty
TASIS 2005&2006 Talks On Science, Fiction, and Future Reality
Theory Reading Group (2004-2005)
ICML 2005 Lectures on How to Predict Sequences with Bayes, MDL, and Experts
MLSS 2005 Lectures on How to Predict with Bayes, MDL, and Experts
TUM 2003 Course on Algorithmic Information Theory and Machine Learning
NIPS 2002 Workshop on Universal Learning Algorithms and Optimal Search
Publications
BibTeX entries
2005:
Robust Inference of Trees
2005:
How to Predict (Sequences) with Bayes, MDL, and Experts
2005:
Adaptive Online Prediction by Following the Perturbed Leader
2005:
Fitness Uniform Deletion: A Simple Way to Preserve Diversity
2005:
Fast Non-Parametric Bayesian Inference on Infinite Trees
2004:
Universal Artificial Intelligence: Sequential Decisions based on Algorithmic Probability
2004:
On the Convergence Speed of MDL Predictions for Bernoulli Sequences
2004:
Universal Convergence of Semimeasures on Individual Random Sequences
2004:
Prediction with Expert Advice by Following the Perturbed Leader for General Weights
2004:
Online Prediction - Bayes versus Experts
2004:
Tournament versus Fitness Uniform Selection
2004:
Convergence of Discrete MDL for Sequential Prediction
2003:
Optimality of Universal Bayesian Sequence Prediction for General Loss and Alphabet
2003:
Bayesian Treatment of Incomplete Discrete Data applied to Mutual Information and Feature Selection
2003:
Optimal Sequential Decisions based on Algorithmic Probability
2003:
An Open Problem Regarding the Convergence of Universal A Priori Probability
2003:
Sequence Prediction based on Monotone Complexity
2003:
One the Existence and Convergence of Universal Priors
2003:
Robust Estimators under the Imprecise Dirichlet Model
2003:
A Gentle Introduction to the Universal Algorithmic Agent AIXI
2003:
Convergence and Loss Bounds for Bayesian Sequence Prediction
2002:
Distribution of Mutual Information from Complete and Incomplete Data
2002:
Hybrid Rounding Techniques for Knapsack Problems
2002:
Robust Feature Selection by Mutual Information Distributions
2002:
Self-Optimizing and Pareto-Optimal Policies in General Environments based on Bayes-Mixtures
2001:
Distribution of Mutual Information
2001:
The Fastest and Shortest Algorithm for All Well-Defined Problems
2001:
Gradient-based Reinforcement Planning in Policy-Search Methods
2001:
Universal Sequential Decisions in Unknown Environments
2001:
Market-Based Reinforcement Learning in Partially Observable Worlds
2001:
General Loss Bounds for Universal Sequence Prediction
2001:
Fitness Uniform Selection to Preserve Genetic Diversity
2001:
Towards a Universal Theory of Artificial Intelligence based on Algorithmic Probability and Sequential Decisions
2001:
Convergence and Error Bounds for Universal Prediction of Nonbinary Sequences
2000:
An effective Procedure for Speeding up Algorithms
2000:
A Theory of Universal Artificial Intelligence based on Algorithmic Complexity
1999:
New Error Bounds for Solomonoff Prediction
1992:
Implementierung eines Klassifizierungs-Systems
(Diploma Thesis,
c-source
,
example
)
1990:
A Reinforcement Learning Hebb Net
(
Fopra
,
Pascal-source
)
Particle Physics
1997:
Family Structure from Periodic Solutions of an Improved Gap Equation
1997:
Instantons and Meson Correlators in QCD
1996:
Instantons in QCD: Theory and application of the instanton liquid model
(PhD Thesis)
1996:
Instantonen in der QCD: Theorie und Anwendungen des Instanton-Flüssigkeit-Modells
(Dissertation)
1996:
The mass of the eta' in self-dual QCD
1995:
Proton Spin in the Instanton Background
1995:
Gauge Invariant Quark Propagator in the Instanton Background
1995:
Gluon Mass from Instantons
Research visit at CERN
Quantum Electro Dynamic Exercises
Klein-Gordon equation and Greens functions
Lorentz group spinors
Properties of Gamma matrix spinors
Weyl spinors, generators, Dirac equation in EM field
Free Dirac equation: Lagrangian, Hamiltonian, canonical quantization, solution
Noether theorems for free Klein-Gordon field
Casimir effect, LSZ formalism for interacting Klein-Gordon field
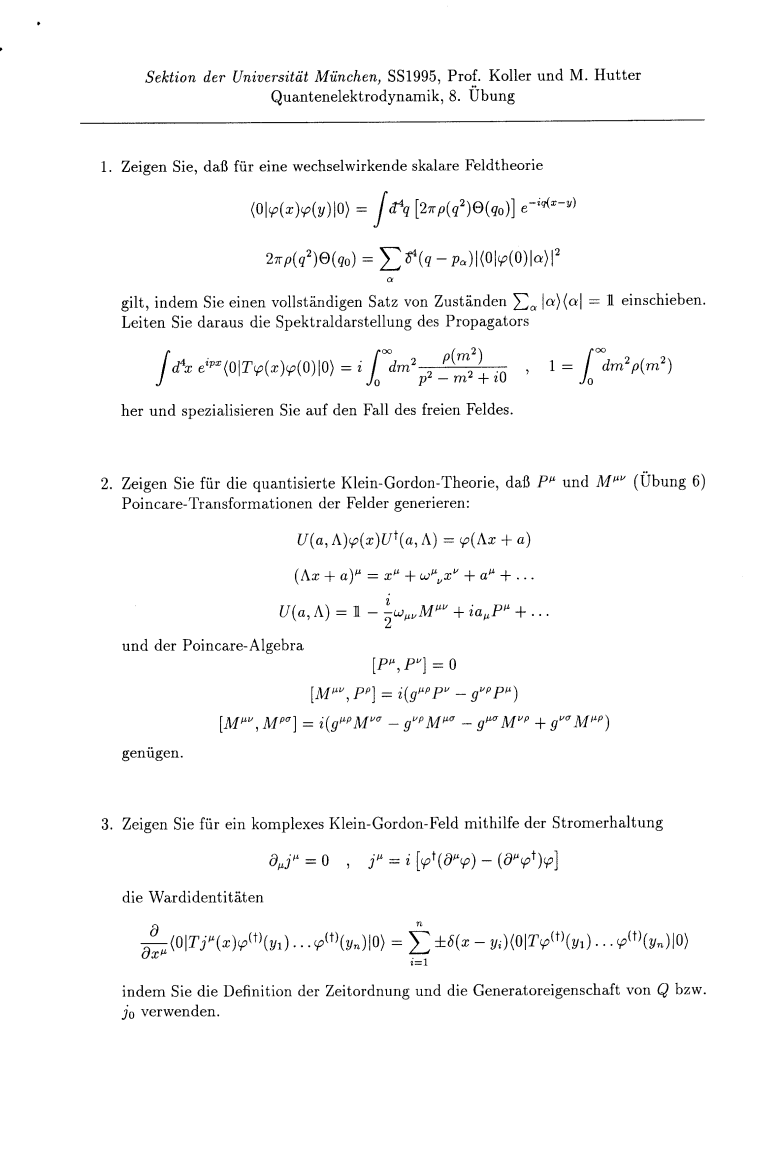
Interacting Klein-Gordon field: spectral representation, Poincare trafo, Ward identities
Pathintegral-quantization
Ward identities for QED, EM field quantization
Computer Graphics
2001:
Patents on 2D/3D Image Enhancement
1987:
Fantastische 3D-Graphik mit dem CPC-Giga-CAD
Miscellaneous
Complete SiteMap
Research Projects
Information for Students
Curriculum Vitae
Search
Menu + Main Page
Contact
[home]
[search]
Personal Old Complete SiteMap
[contact]
[sitemap]
Below are links to my pre-millennium private webpages. They are no longer maintained or updated. They contain mostly old non-professional youth stuff, kept alive for nostalgic reasons.
My Pocket Calculators
1976:
TI-1500
(external link)
1977:
HP-35
(just a picture)
1983:
TI-30 LCD
(pictures & praise)
My Programmable Pocket Calculators
1978:
HP-19C
(picture & my very first programs
1
2
3
4
)
1979: TI-59
1980:
Trs80-PC2
(picture & some early programs
1
2
3
4
5
6
7
8
9
10
11
12
)
1983:
FX-602P
(picture & some early programs
1
2
3
4
5
6
)
1988:
HP-28S
(picture & infos &
many scientific programs
)
My Computers
1981:
EACA Video Genie EG3003
(picture)
1984:
RDKlein
(hardware pictures)
1986:
Schneider CPC 6128
(My CPC-GigaCAD)
Puzzles & Games
Rubik's Cubes
Rubik's Dodekahedron
Rubik's Magic
Other Rubik's like Puzzles
Wooden Puzzles
Barrel
Plastic Puzzles
Gyroscopes
Newton's cradle (Click Clack)
1996: Australia Holiday Pictures
Sydney
(
Giraffe in Taronga Zoo
,
at night
,
Botanical gardens
,
tree
)
The Entrance
(
Pelicans
)
Byron Bay
(
Lighthouse
)
Brisbane
(
Didjeridoos
)
Frazer Island
(
Lake Mc Kenzie
,
Maheno Wreck
)
Kookaburras Everywhere
Falling Rocks do not Stop
The Outback - The Red Centre
(
Road
,
Top view 1
,
2
)
Kings Canyon
Ayers Rock
(
top view
,
red
,
black
)
The Olgas - Kata Tjuta
Coober Pedy
(
dangerous holes
,
golf course
)
Southern Coastline Victoria, Port Campbell National Park
(
London Bridge
,
other bridge
)
1994: USA Holiday Pictures
Death Valley
Palm Springs
(
apple golf course
,
island golf course
)
Joshua Tree Desert
(
stacked cubicals
tree-cacti
)
Las Vegas
(
Luxor hotel
,
Excalibur hotel
)
Grand Canyon
(
rainbow
,
Colorado source
)
Lake Powell
(
bridge
,
lake
,
arm
,
island
,
arch
)
Monument Valley
,
Mexican Hat
,
Church Rock
,
Zion
,
Bryce
Canyon
,
Arches
,
Bridges
Salt Lake City
(
Organ in
Mormon Temple
)
Mount Rainier (roots of a fallen tree)
Redwood Forest (giant tree)
Eureka, a village in Venetian style (Carson Mansion villa)
Miscellaneous
DIY 3D Virtual Reality Glasses
My property on the moon
Some fun
Guestbook
© 2000 by ...
previous
home
search
science
calculators
personal
contact
up
next
... Marcus Hutter